2023
03-01
03-01
基因表达相关性可视化—弦图(R语言)
表达谱分析中,经常会使用到相关性分析,探索一组基因间的共表达特征。例如,这些基因间的表达是否存在较强的协同性,一个基因表达值的改变是否与另一个基因表达值改变显著相关,它们之间是共激活还是抑制关系等。对于相关性分析结果的可视化,通常有多种方法,例如相关性散点图、弦图、共表达网络图。本篇教程则主要带大家了解如何基于基因表达值的相关性,绘制弦图。如下弦图来自文献“CUL4B pro...阅读全文>... 阅 读 全 部 >
目录1. 矩阵相关性计算方法 base::cor/cor.test psych::corr.test Hmisc::rcorr 其他工具 2. 相关性矩阵转化为两两相关 3. 可视化 corrplot gplots::heatmap.2 pheatmap 1. 矩阵相关性计算方法base::cor/cor.testR基础函数cor或cor.test都可计算相关性系数,但cor可直接计算矩阵的......
测序行业的蓬勃发展,带来微生物组学日新月异的变化。目前,单一组学的文章不断“贬值”,前沿研究的目光从单一组学逐步拓展至多组学对贯穿分析,即结合多个组学的分析角度,从多个层面阐述生物学机制。微生物多组学贯穿分析策略十分丰富:如常见的16s与宏基因组贯穿分析,可以验证物种的特征、丰富功能的探究;而16s与代谢组的贯穿分析思路同样常见于高分文章中,通过16s探究不同处理/环境下菌群的物种组成变化,结合代...
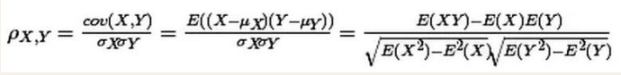
什么是生物统计学生物统计学是一种很有用的工具,正确使用这一工具可以使科学研究更加有效,使科学研究可以更加高效的开展。因此,它是每位生物科学工作者必须掌握的基础知识。联川生物近日对生物统计学进行了系统式的学习,所用的教材——《生物统计学基础(原书第5版)》是一本非常有特色的书,与其他同类书比较,其有以下几类优点:①教材内容通俗易懂但又非常严谨、细致、深入而又全面。书中的多数...阅读全文>&g...